48
信息报送
/col/col17705/index.html
通知公告
/col/col17710/index.html
当前位置:
首页
>
信息报送
>
通知公告
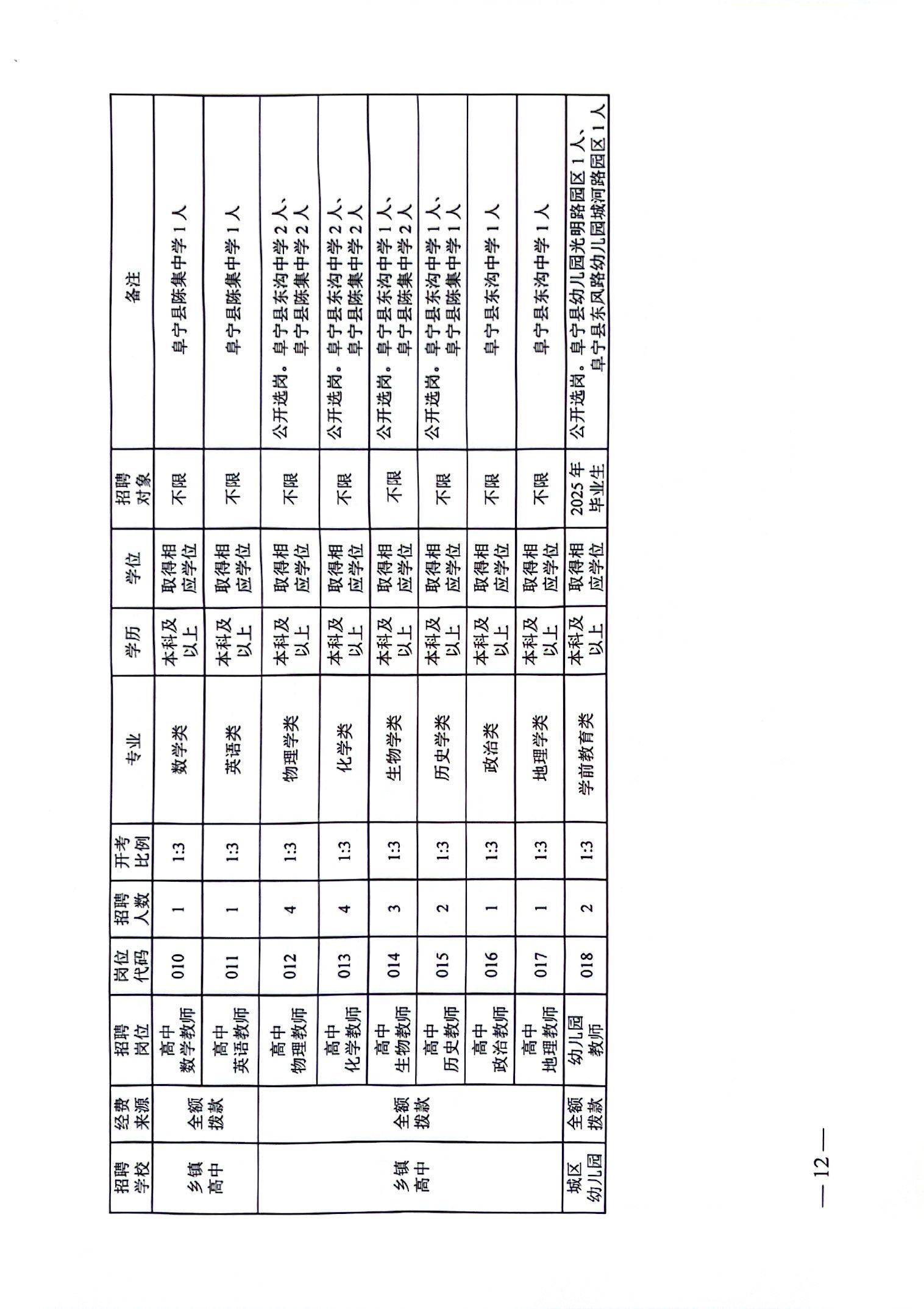
阜宁县教育局2025年公开招聘教师通告
发布日期:2025-05-21 11:31
来源:阜宁县政府办
浏览次数:
[字体:
大
中
小
]
打印
关闭