48
县区资讯
/col/col6607/index.html
通知公告
/col/col6617/index.html
当前位置:
首页
>
县区资讯
>
通知公告
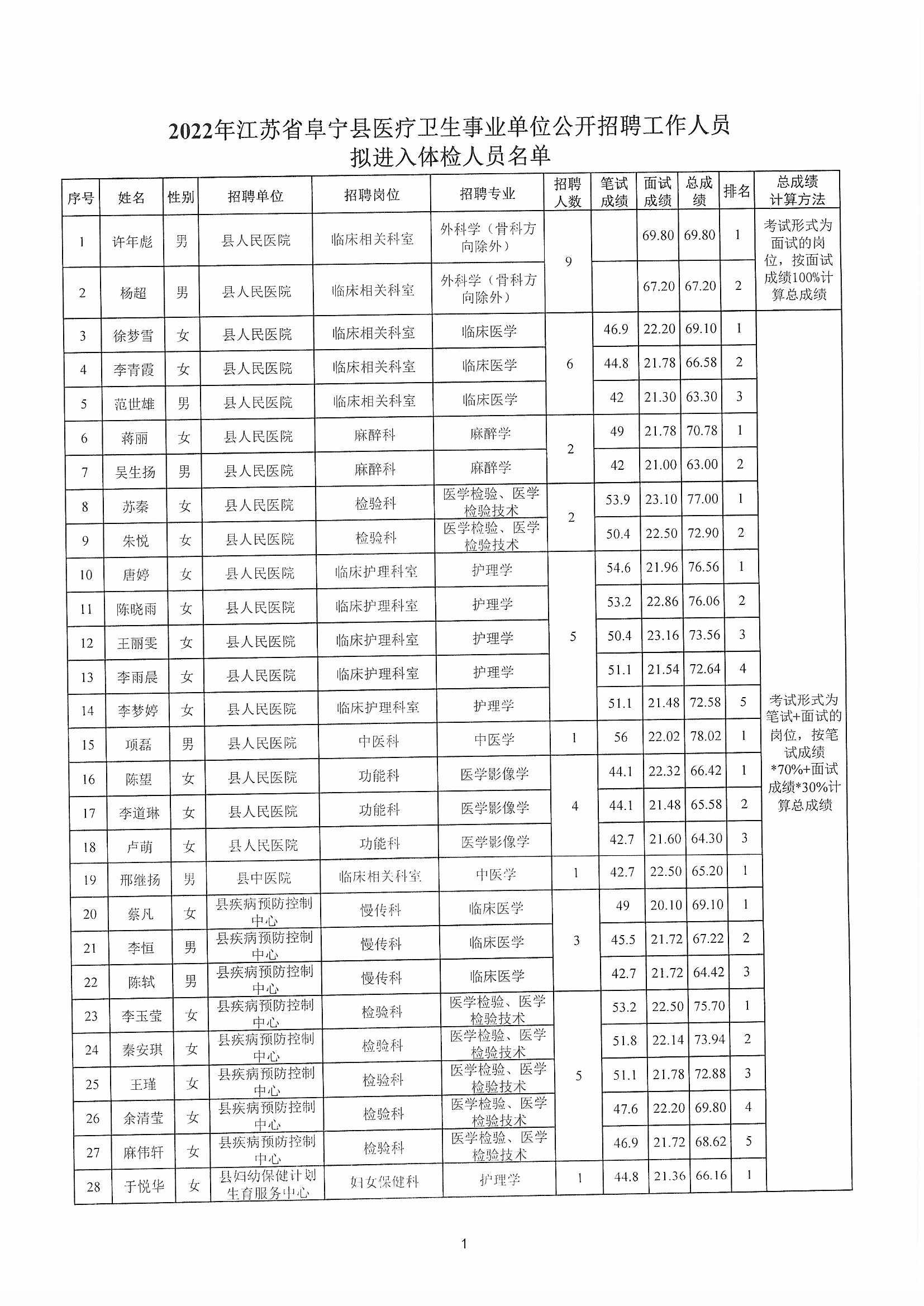
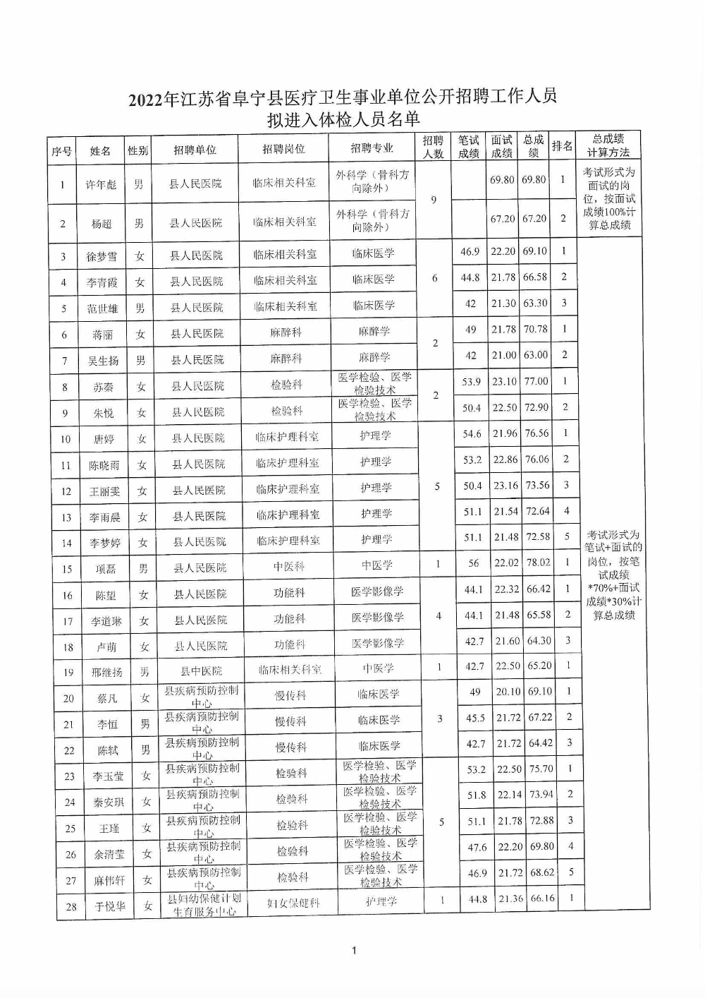
2022年江苏省阜宁县医疗卫生事业单位公开招聘工作人员拟进入体检人员名单
发布日期:2022-08-06 10:54
来源:阜宁县卫生健康委员会
浏览次数:
[字体:
大
中
小
]
打印
关闭