48
县区资讯
/col/col6607/index.html
通知公告
/col/col6617/index.html
当前位置:
首页
>
县区资讯
>
通知公告
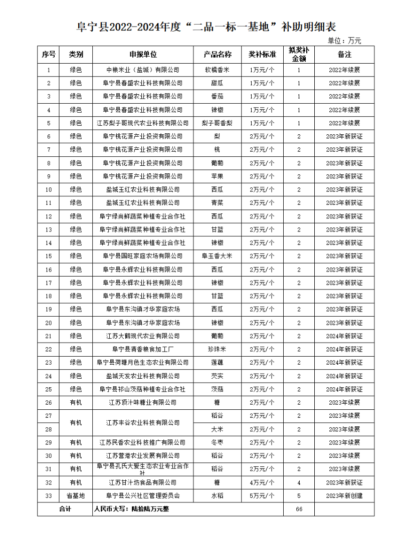
关于对2022-2024年度“二品一标一基地”拟补贴对象进行奖补的公示
发布日期:2024-05-31 10:57
来源:县农业农村局
浏览次数:
[字体:
大
中
小
]
打印
关闭